“We (Mr. Rosen and I) had sent you our manuscript for publication and had not authorized you to show it to specialists before it is printed. I see no reason to address the — in any case erroneous — comments of your anonymous expert...”
J.R. Lane, C. Guria, J. Höller, T.D. Montalvo, Y.S.S. Patil, J.G.E. Harris
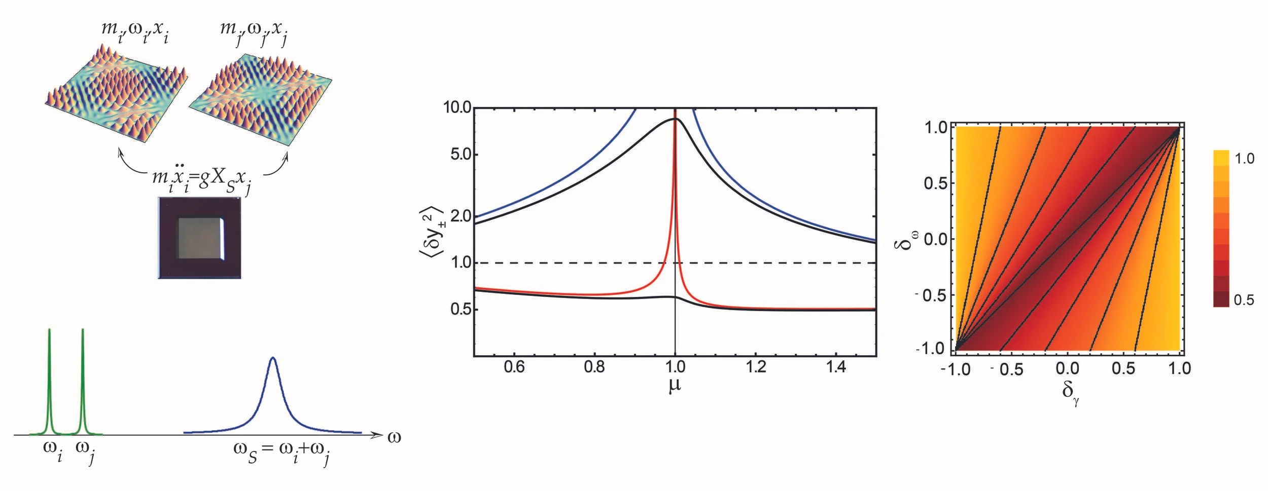
arXiv:2503.23197 (2025)
View on arXiv $~~~~$ Download arXiv version
C. Guria, Q. Zhong, S. K. Ozdemir, Y. S. S. Patil, R. El-Ganainy, J. G. E. Harris
Nature Communications 15, 1369 (2024)
View on Nature Communications $~~~~$ Download Nat. Comm. version
Download Nat. Comm. Suppl
arXiv:2304.03207 (2023)
View on arXiv $~~~~$ Download arXiv version
J. Ma, Y. S. S. Patil, J. Yu, Y. Wang, J. G. E. Harris
arXiv:2308.07174 (2023)
View on arXiv $~~~~$ Download arXiv version
Y. S. S. Patil, J. Yu, S. Frazier, Y. Wang, K. Johnson, J. Fox, J. Reichel, and J. G. E. Harris
Physical Review Letters, 128, 183601 (2022)
View on PRL $~~~~$ Download PRL version $~~~~$ Download PRL Suppl
arXiv:2201.07340 (2022)
View on arXiv $~~~~$ Download arXiv version
Y. S. S. Patil, J. Höller, P. A. Henry, C. Guria, Y. Zhang, L. Jiang, N. Kralj, N. Read, J. G. E. Harris
Nature 607, 271-275 (2022)
View on Nature $~~~~$ Download Nature version $~~~~$ Download Nature Suppl
arXiv:2112.00157 (2021)
View on arXiv $~~~~$ Download arXiv version $~~~~$ View Suppl Videos
Y. S. Patil, H. F. H. Cheung, S. A. Bhave, M. Vengalattore
IEEE International Symposium on Inertial Sensors and Systems (INERTIAL) (2020)
View on IEEE $~~~~$ Download IEEE version
Y. S. Patil, H. F. H. Cheung, T. Villazon, A. G. Date, A. Polkovnikov, A. Chandran, and M. Vengalattore
View pre-Preprint (2018)
H. F. H. Cheung, Y. S. Patil and M. Vengalattore
Physical Review A 97, 052116 (2018)
View on PRA $~~~~$ Download PRA version
arXiv:1707.02622 (2017)
View on arXiv $~~~~$ Download arXiv version
Y. S. Patil, S. Chakram, M. Vengalattore
Physical Review Letters, 115, 140402 (2015)
View on PRL $~~~~$ Download PRL version $~~~~$ Download PRL Suppl
arXiv:1411.2678 (2014)
View on arXiv $~~~~$ Download arXiv version
Y. S. Patil, S. Chakram, L. Chang, M. Vengalattore
Physical Review Letters, 115, 017202 (2015)
View on PRL $~~~~$ Download PRL version $~~~~$ Download PRL Suppl
arXiv:1410.7109 (2014)
View on arXiv $~~~~$ Download arXiv version
S. Chakram, Y. S. Patil, M. Vengalattore
New Journal of Physics, 17, 063018 (2015)
View on NJP $~~~~$ Download NJP version
arXiv:1412.8536 (2014)
View on arXiv $~~~~$ Download arXiv version
Y. S. Patil, S. Chakram, L. M. Aycock, and M. Vengalattore
Physical Review A, 90, 033422 (2014)
View on PRA $~~~~$ Download PRA version
arXiv:1404.5583 (2014)
View on arXiv $~~~~$ Download arXiv version
S. Chakram, Y. S. Patil, L. Chang, and M. Vengalattore
Physical Review Letters, 112, 127201 (2014)
View on PRL $~~~~$ Download PRL version $~~~~$ Download PRL Suppl
arXiv:1311.1234 (2013)
View on arXiv $~~~~$ Download arXiv version
C Ott, M Schönwald, P Raith, A Kaldun, G Sansone, M Krüger, P Hommelhoff, Y Patil, Y Zhang, K Meyer, M Laux and T Pfeifer
New Journal of Physics, 15, 073031 (2013)
View on NJP Download NJP version

H. F. H. Cheung, Y. S. Patil, L. Chang, S. Chakram and M. Vengalattore
arXiv:1601.02324 (2016)
View on arXiv $~~~~$ Download arXiv version